Упражнение 2.10 ГДЗ Мордкович Семенов 9 класс (Алгебра)
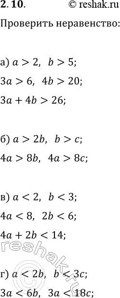
2.10. Проверьте справедливость утверждения: а) если a > 2, b > 5, то 3a+4b > 26; б) если a > 2b, b >
Ниже вариант решения задания из учебника Мордкович, Семенов, Александрова 9 класс, Бином:
2.10. Проверьте справедливость утверждения:
а) если a > 2, b > 5, то 3a+4b > 26;
б) если a > 2b, b > c, то 4a > 8c;
в) если a
г) если a

