Упражнение 2.12 ГДЗ Мордкович Семенов 9 класс (Алгебра)
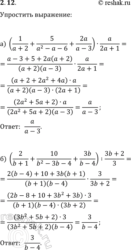
2.12. Упростите выражение: а) (1/(a+2)+5/(a^2-a-6)+2a/(a-3))·a/(2a+1); б) (2/(b+1)+10/(b^2-3b-4)+3b/(b-4)):(3b+2)/3. *Цитирирование задания со ссылкой на учебник производится исключительно в учебных целях для лучшего понимания разбора решения задания.

Ниже вариант решения задания из учебника Мордкович, Семенов, Александрова 9 класс, Бином:
2.12. Упростите выражение:
а) (1/(a+2)+5/(a^2-a-6)+2a/(a-3))·a/(2a+1);
б) (2/(b+1)+10/(b^2-3b-4)+3b/(b-4)):(3b+2)/3.
