Упражнение 3.3 ГДЗ Мордкович Семенов 9 класс (Алгебра)
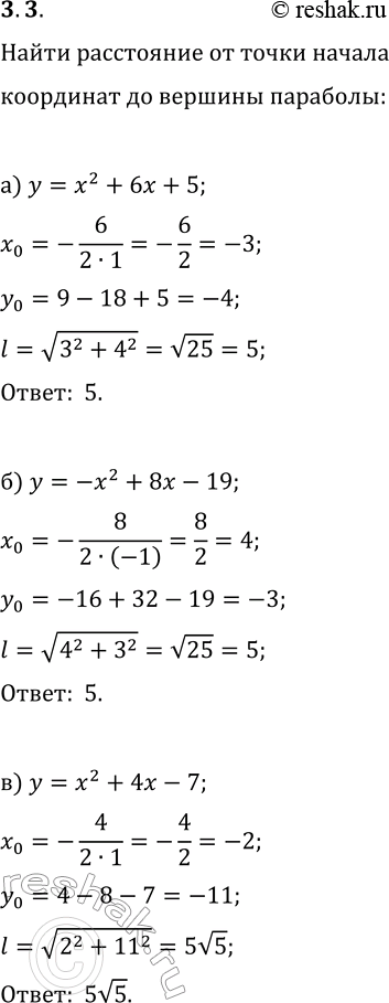
3.3. Найдите расстояние от начала координат до вершины параболы: а) y=x^2+6x+5; г) y=x^2-8x+19; б) y=-x^2+8x-19; д) y=-x^2+6x+5; в) y=x^2+4x-7; е) y=x^2-2x-1.


Ниже вариант решения задания из учебника Мордкович, Семенов, Александрова 9 класс, Бином:
3.3. Найдите расстояние от начала координат до вершины параболы:
а) y=x^2+6x+5; г) y=x^2-8x+19;
б) y=-x^2+8x-19; д) y=-x^2+6x+5;
в) y=x^2+4x-7; е) y=x^2-2x-1.
