Упражнение 22.18 ГДЗ Мордкович Семенов 9 класс (Алгебра)
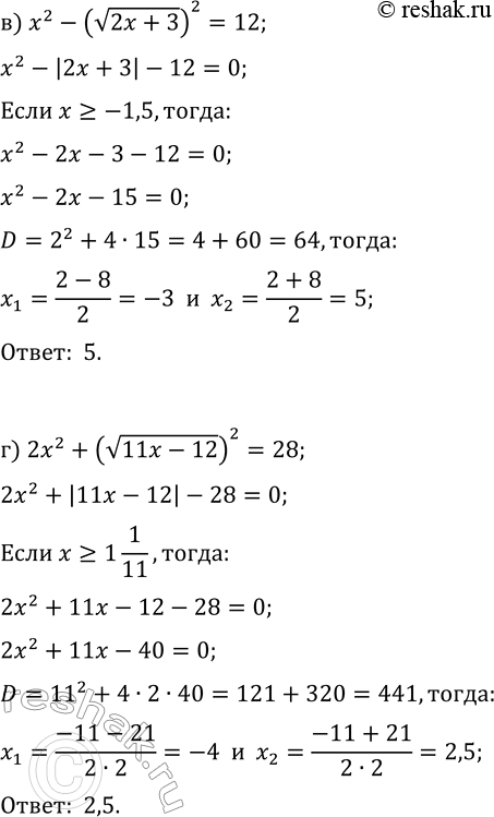
22.18. Решите уравнение: а) x^2+(v(x-3))^2=9; в) x^2-(v(2x+3))^2=12; б) 2x^2+(v(11x-13))^2=50; г) 2x^2+(v(11x-12))^2=28. *Цитирирование задания со ссылкой на учебник производится исключительно в учебных целях для лучшего понимания разбора решения задания.


Ниже вариант решения задания из учебника Мордкович, Семенов, Александрова 9 класс, Бином:
22.18. Решите уравнение:
а) x^2+(v(x-3))^2=9; в) x^2-(v(2x+3))^2=12;
б) 2x^2+(v(11x-13))^2=50; г) 2x^2+(v(11x-12))^2=28.
