Упражнение 23.2 ГДЗ Мордкович Семенов 9 класс (Алгебра)
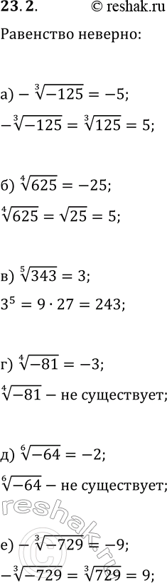
23.2. Объясните, почему неверно равенство: а) -(-125)^(1/3)=-5; г) (-81)^(1/4)=-3; б) (625)^(1/4)=-25; д) (-64)^(1/6)=-2; в) (343)^(1/5)=3; е) -(-729)^(1/3)=-9. *Цитирирование задания со ссылкой на учебник производится исключительно в учебных целях для лучшего понимания разбора решения задания.

Ниже вариант решения задания из учебника Мордкович, Семенов, Александрова 9 класс, Бином:
23.2. Объясните, почему неверно равенство:
а) -(-125)^(1/3)=-5; г) (-81)^(1/4)=-3;
б) (625)^(1/4)=-25; д) (-64)^(1/6)=-2;
в) (343)^(1/5)=3; е) -(-729)^(1/3)=-9.
