Упражнение 22.19 ГДЗ Мордкович Семенов 9 класс (Алгебра)
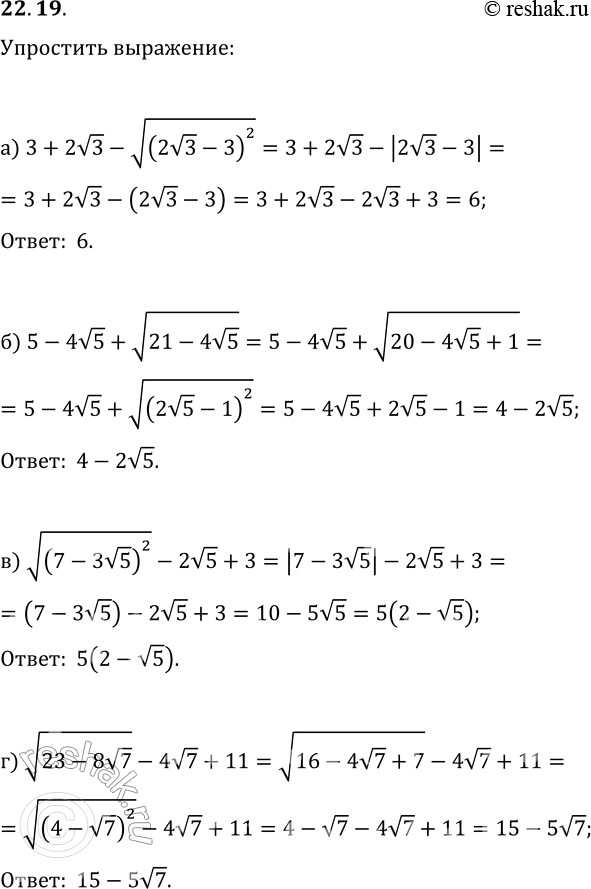
22.19. Упростите выражение: а) 3+2v3-v(2v3-3)^2; в) v(7-3v5)^2-2v5+3; б) 5-4v5+v(21-4v5); г) v(23-8v7)-4v7+11. *Цитирирование задания со ссылкой на учебник производится исключительно в учебных целях для лучшего понимания разбора решения задания.

Ниже вариант решения задания из учебника Мордкович, Семенов, Александрова 9 класс, Бином:
22.19. Упростите выражение:
а) 3+2v3-v(2v3-3)^2; в) v(7-3v5)^2-2v5+3;
б) 5-4v5+v(21-4v5); г) v(23-8v7)-4v7+11.
