Упражнение 24.8 ГДЗ Мордкович Семенов 9 класс (Алгебра)
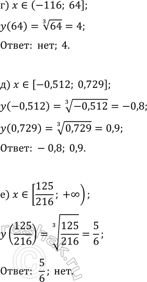
24.8. Найдите наименьшее и наибольшее значения функции y=f(x), где f(x)=x^(1/3), на заданном промежутке: а) x?[-27; 100); г) x?(-116; 64]; б) x?[-0,125;
![Решение задачи: 24.8. Найдите наименьшее и наибольшее значения функции y=f(x), где f(x)=x^(1/3), на заданном промежутке: а) x?[-27; 100); г) x?(-116; 64]; б) x?[-0,125;](solutions/algebra/9/626/1-24-8.png)
![Решение задачи: 24.8. Найдите наименьшее и наибольшее значения функции y=f(x), где f(x)=x^(1/3), на заданном промежутке: а) x?[-27; 100); г) x?(-116; 64]; б) x?[-0,125;](solutions/algebra/9/626/2-24-8-.png)
Ниже вариант решения задания из учебника Мордкович, Семенов, Александрова 9 класс, Бином:
24.8. Найдите наименьшее и наибольшее значения функции y=f(x), где f(x)=x^(1/3), на заданном промежутке:
а) x?[-27; 100); г) x?(-116; 64];
б) x?[-0,125; 0,216]; д) x?[-0,512; 0,729];
в) x?(-?; 64/125]; е) x?[125/216; +?).
