Упражнение 24.9 ГДЗ Мордкович Семенов 9 класс (Алгебра)
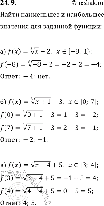
24.9. Найдите наименьшее и наибольшее значения функции y=f(x), если: а) f(x)=x^(1/3)-2, x?[-8; 1); б) f(x)=(x+1)^(1/3)-3, x?[0; 7]; в) f(x)=(x-4)^(1/3)+5, x?[3; 4];
![Решение задачи: 24.9. Найдите наименьшее и наибольшее значения функции y=f(x), если: а) f(x)=x^(1/3)-2, x?[-8; 1); б) f(x)=(x+1)^(1/3)-3, x?[0; 7]; в) f(x)=(x-4)^(1/3)+5, x?[3; 4];](solutions/algebra/9/626/1-24-9.png)
![Решение задачи: 24.9. Найдите наименьшее и наибольшее значения функции y=f(x), если: а) f(x)=x^(1/3)-2, x?[-8; 1); б) f(x)=(x+1)^(1/3)-3, x?[0; 7]; в) f(x)=(x-4)^(1/3)+5, x?[3; 4];](solutions/algebra/9/626/2-24-9-.png)
Ниже вариант решения задания из учебника Мордкович, Семенов, Александрова 9 класс, Бином:
24.9. Найдите наименьшее и наибольшее значения функции y=f(x), если:
а) f(x)=x^(1/3)-2, x?[-8; 1);
б) f(x)=(x+1)^(1/3)-3, x?[0; 7];
в) f(x)=(x-4)^(1/3)+5, x?[3; 4];
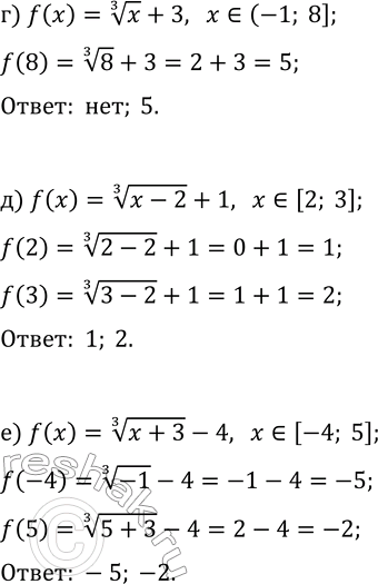
г) f(x)=x^(1/3)+3, x?(-1; 8];
д) f(x)=(x-2)^(1/3)+1, x?[2; 3];
е) f(x)=(x+3)^(1/3)-4, x?[-4; 5].
