Упражнение 27.2 ГДЗ Мордкович Семенов 9 класс (Алгебра)
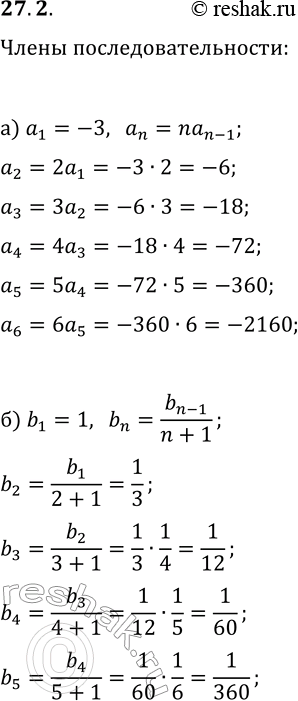
27.2. а) Последовательность задана рекуррентным способом: a_1=-3, a_n=na_(n-1) (n=2, 3, 4, ...). Найдите первые шесть членов последовательности. б) Последовательность задана рекуррентным способом:

Ниже вариант решения задания из учебника Мордкович, Семенов, Александрова 9 класс, Бином:
27.2. а) Последовательность задана рекуррентным способом: a_1=-3, a_n=na_(n-1) (n=2, 3, 4, ...). Найдите первые шесть членов последовательности.
б) Последовательность задана рекуррентным способом: b_1=1, b_n=b_(n-1)/(n+1) (n=2, 3, 4, ...). Найдите первые пять членов последовательности.
