Упражнение 26.15 ГДЗ Мордкович Семенов 9 класс (Алгебра)
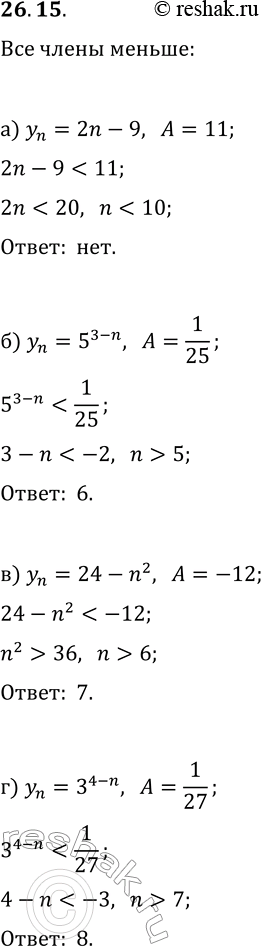
26.15. Найдите номер члена последовательности (y_n) начиная с которого y_n а) y_n=2n-9, A=11; в) y_n=24-n^2, A=-12; б) y_n=5^(3-n), A=1/25; г) y_n=3^(4-n), A=1/27.

Ниже вариант решения задания из учебника Мордкович, Семенов, Александрова 9 класс, Бином:
26.15. Найдите номер члена последовательности (y_n) начиная с которого y_n
а) y_n=2n-9, A=11; в) y_n=24-n^2, A=-12;
б) y_n=5^(3-n), A=1/25; г) y_n=3^(4-n), A=1/27.
