Упражнение 26.18 ГДЗ Мордкович Семенов 9 класс (Алгебра)
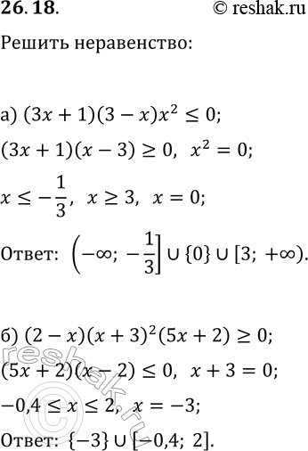
26.18. Решите неравенство: а) (3x+1)(3-x)x^2?0; б) (2-x)(x+3)^2 (5x+2)?0. *Цитирирование задания со ссылкой на учебник производится исключительно в учебных целях для лучшего понимания разбора решения задания.

Ниже вариант решения задания из учебника Мордкович, Семенов, Александрова 9 класс, Бином:
26.18. Решите неравенство:
а) (3x+1)(3-x)x^2?0;
б) (2-x)(x+3)^2 (5x+2)?0.
