Упражнение 34.13 ГДЗ Мордкович Семенов 9 класс (Алгебра)
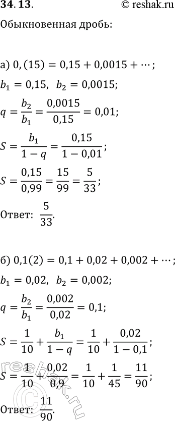
34.13. Представьте в виде обыкновенной дроби: а) 0,(15); б) 0,1(2); в) 0,(18); г) 0,2(34). *Цитирирование задания со ссылкой на учебник производится исключительно в учебных целях для лучшего понимания разбора решения задания.


Ниже вариант решения задания из учебника Мордкович, Семенов, Александрова 9 класс, Бином:
34.13. Представьте в виде обыкновенной дроби:
а) 0,(15); б) 0,1(2); в) 0,(18); г) 0,2(34).
