Упражнение 34.8 ГДЗ Мордкович Семенов 9 класс (Алгебра)
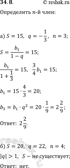
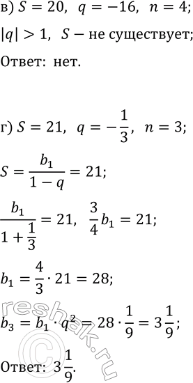
34.8. Найдите n-й член геометрической прогрессии (b_n), если: а) S=15, q=-1/3, n=3; в) S=-20, q=-16, n=4; б) S=20, q=22, n=4; г) S=21, q=-1/3, n=3.


Ниже вариант решения задания из учебника Мордкович, Семенов, Александрова 9 класс, Бином:
34.8. Найдите n-й член геометрической прогрессии (b_n), если:
а) S=15, q=-1/3, n=3; в) S=-20, q=-16, n=4;
б) S=20, q=22, n=4; г) S=21, q=-1/3, n=3.
