Упражнение 36.5 ГДЗ Мордкович Семенов 9 класс (Алгебра)
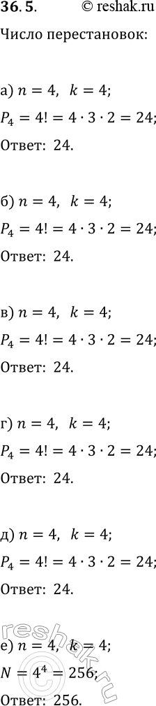
36.5. Сколькими способами: а) четыре машины могут выехать из села по одной из четырёх выходящих из него дорог; б) можно выбрать порядок выполнения четырёх заданий контрольной работы;

Ниже вариант решения задания из учебника Мордкович, Семенов, Александрова 9 класс, Бином:
36.5. Сколькими способами:
а) четыре машины могут выехать из села по одной из четырёх выходящих из него дорог;
б) можно выбрать порядок выполнения четырёх заданий контрольной работы;
в) можно съесть обед из четырёх блюд в произвольном порядке;
г) Веру, Валю, Витю и Вову можно по одному вызвать к доске для ответа;
д) можно каждый из четырёх кругов раскрасить в один из четырёх цветов (без повторений цвета);
е) можно каждый из четырёх кругов раскрасить в один из четырёх цветов (повторения допускаются)?
