Упражнение 36.4 ГДЗ Мордкович Семенов 9 класс (Алгебра)
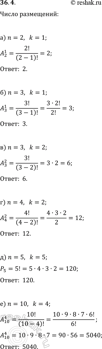
36.4. В поезде n вагонов. На перроне стоят k продавцов мороженого, k?n. Сколькими способами они могут распределиться по одному в вагоны, если важно, кто в какой вагон сел, и:

Ниже вариант решения задания из учебника Мордкович, Семенов, Александрова 9 класс, Бином:
36.4. В поезде n вагонов. На перроне стоят k продавцов мороженого, k?n. Сколькими способами они могут распределиться по одному в вагоны, если важно, кто в какой вагон сел, и:
а) n=2, k=1; г) n=4, k=2;
б) n=3, k=1; д) n=5, k=5;
в) n=3, k=2; е) n=10, k=4?
