Упражнение 37.19 ГДЗ Мордкович Семенов 9 класс (Алгебра)
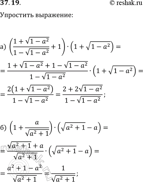
37.19. Упростите выражение: а) ((1+v(1-a^2)/(1-v(1-a^2)+1)·(1+v(1-a^2)); б) (1+a/v(a^2+1))·(v(a^2+1)-a). *Цитирирование задания со ссылкой на учебник производится исключительно в учебных целях для лучшего понимания разбора решения задания.

Ниже вариант решения задания из учебника Мордкович, Семенов, Александрова 9 класс, Бином:
37.19. Упростите выражение:
а) ((1+v(1-a^2)/(1-v(1-a^2)+1)·(1+v(1-a^2));
б) (1+a/v(a^2+1))·(v(a^2+1)-a).
