Упражнение 37.16 ГДЗ Мордкович Семенов 9 класс (Алгебра)
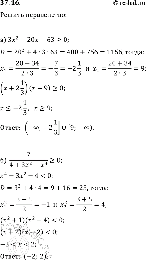
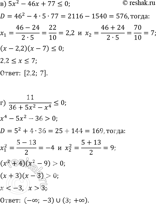
37.16. Решите неравенство: а) 3x^2-20x-63?0; в) 5x^2-46x+77?0; б) 7/(4+3x^2-x^4)?0; г) 11/(36+5x^2-x^4)?0. *Цитирирование задания со ссылкой на учебник производится исключительно в учебных целях для лучшего понимания разбора решения задания.


Ниже вариант решения задания из учебника Мордкович, Семенов, Александрова 9 класс, Бином:
37.16. Решите неравенство:
а) 3x^2-20x-63?0; в) 5x^2-46x+77?0;
б) 7/(4+3x^2-x^4)?0; г) 11/(36+5x^2-x^4)?0.
