Упражнение 38.10 ГДЗ Мордкович Семенов 9 класс (Алгебра)
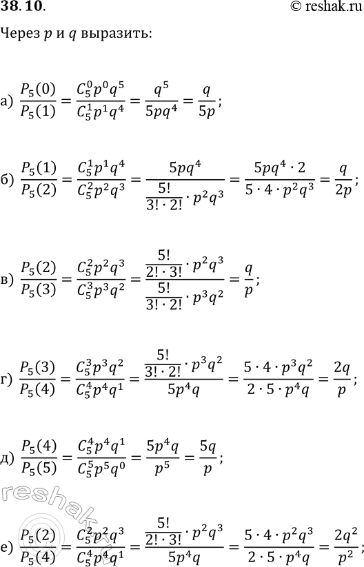
38.10. Проводят независимые повторения испытания с исходами «успех» и «неудача», р — вероятность «успеха», q — вероятность «неудачи». Через р и q выразите:

Ниже вариант решения задания из учебника Мордкович, Семенов, Александрова 9 класс, Бином:
38.10. Проводят независимые повторения испытания с исходами «успех» и «неудача», р — вероятность «успеха», q — вероятность «неудачи». Через р и q выразите:
а) P(0; 5)/P(1; 5); в) P(2; 5)/P(3; 5); д) P(4; 5)/P(5; 5);
б) P(1; 5)/P(2; 5); г) P(3; 5)/P(4; 5); е) P(2; 5)/P(4; 5).
