Упражнение 38.15 ГДЗ Мордкович Семенов 9 класс (Алгебра)
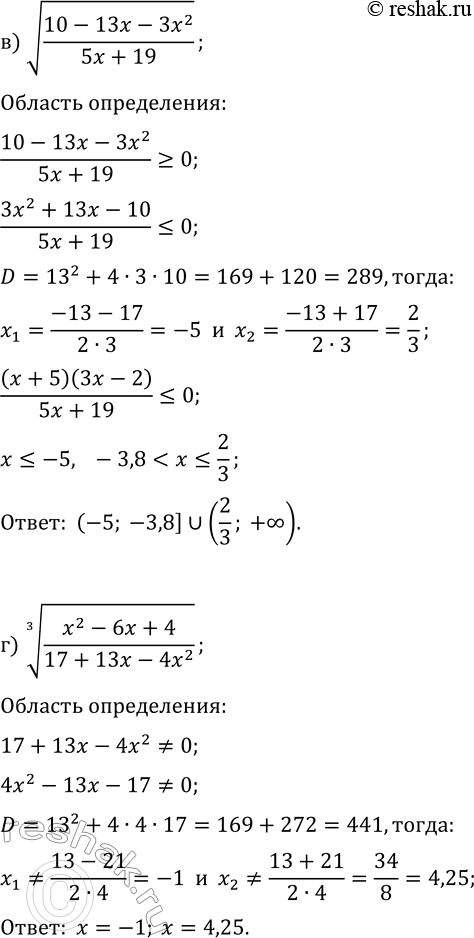
38.15. При каких значениях переменной не имеет смысла выражение: а) v((4x-5)/(2x^2-7x-22)); в) v((10-13x-3x^2)/(5x+19)); б) ((x^2-8x+7)/(5x^2-x+1))^(1/3); г) ((x^2-6x+4)/(17+13x-4x^2))^(1/3)? *Цитирирование задания со ссылкой на учебник производится исключительно в учебных целях для лучшего понимания разбора решения задания.


Ниже вариант решения задания из учебника Мордкович, Семенов, Александрова 9 класс, Бином:
38.15. При каких значениях переменной не имеет смысла выражение:
а) v((4x-5)/(2x^2-7x-22)); в) v((10-13x-3x^2)/(5x+19));
б) ((x^2-8x+7)/(5x^2-x+1))^(1/3); г) ((x^2-6x+4)/(17+13x-4x^2))^(1/3)?
