Упражнение 39.5 ГДЗ Мордкович Семенов 9 класс (Алгебра)
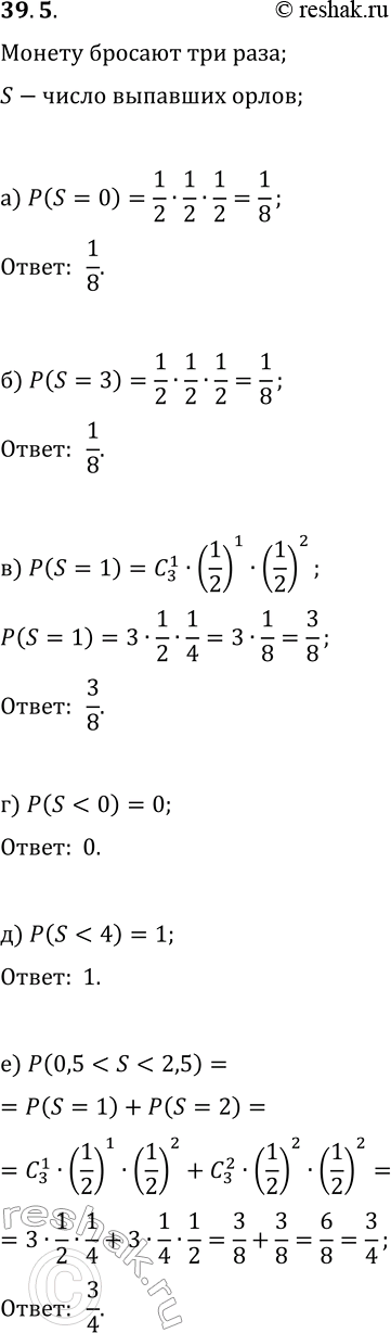
39.5. Рассмотрим случайную величину S — «число „орлов", которые могут выпасть при трёхкратном бросании монеты». Найдите вероятность события: а) S=0; в) S=1;
Ниже вариант решения задания из учебника Мордкович, Семенов, Александрова 9 класс, Бином:
39.5. Рассмотрим случайную величину S — «число „орлов", которые могут выпасть при трёхкратном бросании монеты». Найдите вероятность события:
а) S=0; в) S=1; д) S
б) S=3; г) S

