Упражнение 4.13 ГДЗ Мордкович Семенов 9 класс (Алгебра)
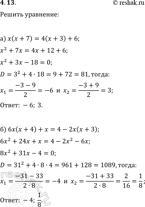
4.13. Решите уравнение: а) x(x+7)=4(x+3)+6; б) 6x(x+4)+x=4-2x(x+3). *Цитирирование задания со ссылкой на учебник производится исключительно в учебных целях для лучшего понимания разбора решения задания.

Ниже вариант решения задания из учебника Мордкович, Семенов, Александрова 9 класс, Бином:
4.13. Решите уравнение:
а) x(x+7)=4(x+3)+6;
б) 6x(x+4)+x=4-2x(x+3).
