Упражнение 5.4 ГДЗ Мордкович Семенов 9 класс (Алгебра)
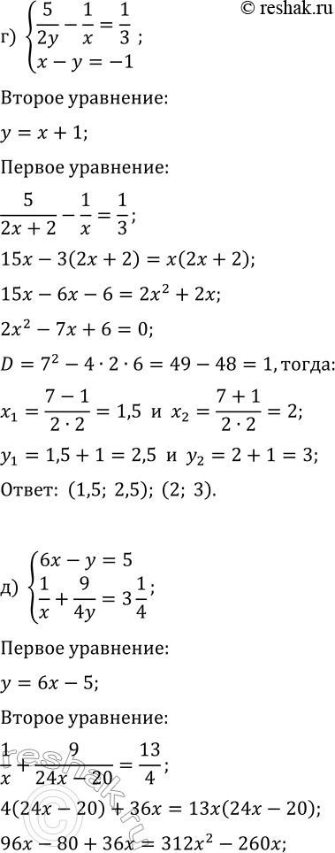
5.4. Решите систему уравнений методом подстановки: а) {1/x+1/y=5/6, 2y-x=1}; г) {5/(2y)-1/x=1/3, x-y=-1}; б) {2x-y=3, -1/(2y)+1/(4x)=2/3}; д) {6x-y=5, 1/x+9/(4y)=3(1/4)}; в) {5/x+4/y=2+12/(xy), x-y=3};




Ниже вариант решения задания из учебника Мордкович, Семенов, Александрова 9 класс, Бином:
5.4. Решите систему уравнений методом подстановки:
а) {1/x+1/y=5/6, 2y-x=1}; г) {5/(2y)-1/x=1/3, x-y=-1};
б) {2x-y=3, -1/(2y)+1/(4x)=2/3}; д) {6x-y=5, 1/x+9/(4y)=3(1/4)};
в) {5/x+4/y=2+12/(xy), x-y=3}; е) {4/x+3/y=1+12/(xy), x-y=1}.
