Упражнение 5.3 ГДЗ Мордкович Семенов 9 класс (Алгебра)
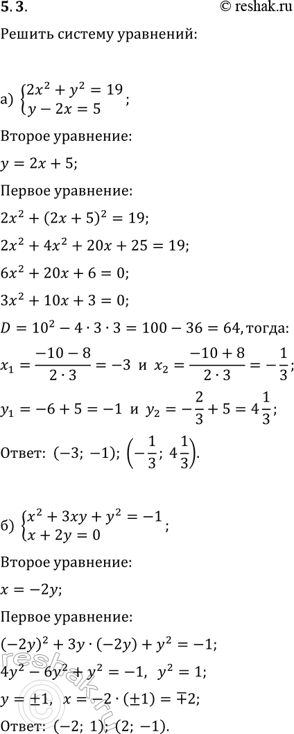
5.3. Решите систему уравнений методом подстановки: а) {2x^2+y^2=19, y-2x=5}; г) {x^2-y^2=45, x-2y=3}; б) {x^2+3xy+y^2=-1, x+2y=0}; д) {x^2+xy-y^2=20, x-2y=0}; в) {xy+y^2+x-3y=8, x+y=6};



Ниже вариант решения задания из учебника Мордкович, Семенов, Александрова 9 класс, Бином:
5.3. Решите систему уравнений методом подстановки:
а) {2x^2+y^2=19, y-2x=5}; г) {x^2-y^2=45, x-2y=3};
б) {x^2+3xy+y^2=-1, x+2y=0}; д) {x^2+xy-y^2=20, x-2y=0};
в) {xy+y^2+x-3y=8, x+y=6}; е) {x^2-xy-x+2y=22, x-y=3}.
