Упражнение 5.7 ГДЗ Мордкович Семенов 9 класс (Алгебра)
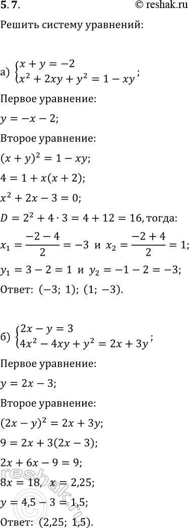
5.7. Решите систему уравнений методом подстановки: а) {x+y=-2, x^2+2xy+y^2=1-xy}; б) {2x-y=3, 4x^2-4xy+y^2=2x+3y}; в) {3x+2y=7, 9x^2+12xy+4y^2=9x+20y}; г) {x^2-6xy+9y^2=x-y, x-3y=-1}; д) {x+2y=2, x^2+4xy+4y^2=2y+4x};



Ниже вариант решения задания из учебника Мордкович, Семенов, Александрова 9 класс, Бином:
5.7. Решите систему уравнений методом подстановки:
а) {x+y=-2, x^2+2xy+y^2=1-xy};
б) {2x-y=3, 4x^2-4xy+y^2=2x+3y};
в) {3x+2y=7, 9x^2+12xy+4y^2=9x+20y};
г) {x^2-6xy+9y^2=x-y, x-3y=-1};
д) {x+2y=2, x^2+4xy+4y^2=2y+4x};
е) {2x-3y=1, 4x^2-12xy+9y^2=3x-5y}.
