Упражнение 6.4 ГДЗ Мордкович Семенов 9 класс (Алгебра)
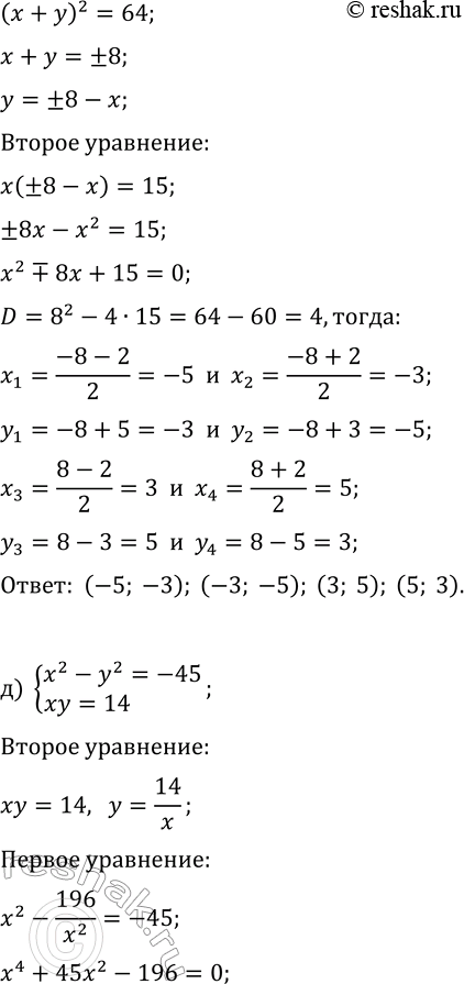
6.4. Решите систему уравнений, используя разные методы: а) {x^2-y^2=11, xy=30}; г) {x^2+y^2=34, xy=15}; б) {x^2+y^2=52, xy=24}; д) {x^2-y^2=-45, xy=14}; в) {xy=12, x^2-y^2=32};




Ниже вариант решения задания из учебника Мордкович, Семенов, Александрова 9 класс, Бином:
6.4. Решите систему уравнений, используя разные методы:
а) {x^2-y^2=11, xy=30}; г) {x^2+y^2=34, xy=15};
б) {x^2+y^2=52, xy=24}; д) {x^2-y^2=-45, xy=14};
в) {xy=12, x^2-y^2=32}; е) {x^2+y^2=37, xy=6}.
