Упражнение 6.5 ГДЗ Мордкович Семенов 9 класс (Алгебра)
6.5. Решите систему уравнений, используя разные методы: а) {x^2-4x-3y=-9, x^2+2x-2y=11}; г) {3x+y+y^2=3, 5x-2y+y^2=-5}; б) {xy+x=-3, xy+y=-8}; д) {xy-3x=-2, xy+2y=16}; в) {xy-x=-15, 2xy+3y=-26};




Ниже вариант решения задания из учебника Мордкович, Семенов, Александрова 9 класс, Бином:
6.5. Решите систему уравнений, используя разные методы:
а) {x^2-4x-3y=-9, x^2+2x-2y=11}; г) {3x+y+y^2=3, 5x-2y+y^2=-5};
б) {xy+x=-3, xy+y=-8}; д) {xy-3x=-2, xy+2y=16};
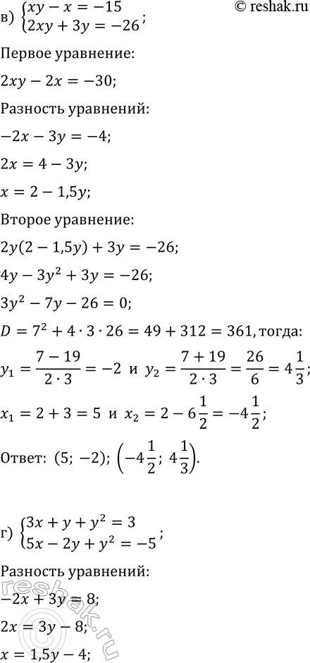
в) {xy-x=-15, 2xy+3y=-26}; е) {x-3xy=-1, xy-4y=-2}.
