Упражнение 6.6 ГДЗ Мордкович Семенов 9 класс (Алгебра)
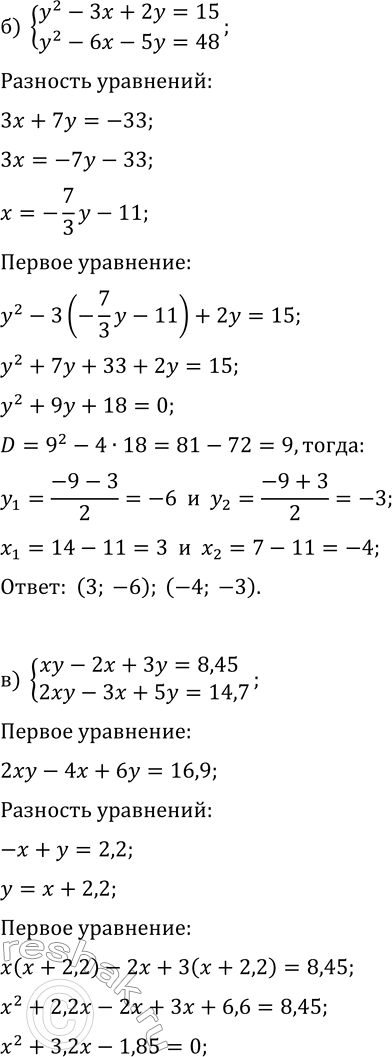
6.6. Решите систему уравнений, используя разные методы: а) {xy-3x+y=-1, 2xy+x-2y=1}; г) {x-2xy+3y=-3, xy+x-2y=5}; б) {y^2-3x+2y=15, y^2-6x-5y=48}; д) {x^2+4x-5y=92, x^2-2x+y=32}; в) {xy-2x+3y=8,45, 2xy-3x+5y=14,7};




Ниже вариант решения задания из учебника Мордкович, Семенов, Александрова 9 класс, Бином:
6.6. Решите систему уравнений, используя разные методы:
а) {xy-3x+y=-1, 2xy+x-2y=1}; г) {x-2xy+3y=-3, xy+x-2y=5};
б) {y^2-3x+2y=15, y^2-6x-5y=48}; д) {x^2+4x-5y=92, x^2-2x+y=32};
в) {xy-2x+3y=8,45, 2xy-3x+5y=14,7}; е) {3xy+x+2y=-7,6, xy-2x+3y=-9,3}.
