Упражнение 8.15 ГДЗ Мордкович Семенов 9 класс (Алгебра)
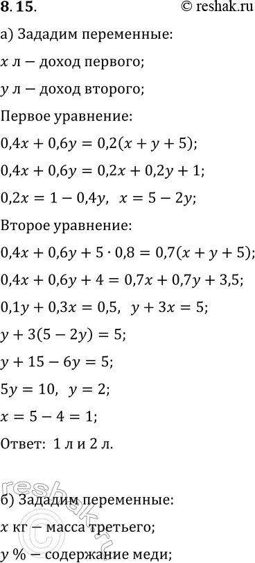
8.15. а) Смешав 40%-ный, 60%-ный растворы соли и 5 л воды, получили 20%-ный раствор соли. Если бы вместо 5 л воды добавили 5 л 80%-ного раствора соли, то получился бы 70%-ный раствор соли.


Ниже вариант решения задания из учебника Мордкович, Семенов, Александрова 9 класс, Бином:
8.15. а) Смешав 40%-ный, 60%-ный растворы соли и 5 л воды, получили 20%-ный раствор соли. Если бы вместо 5 л воды добавили 5 л 80%-ного раствора соли, то получился бы 70%-ный раствор соли. Сколько было 40%-ного и сколько 60%-ного растворов соли?
б) Имеется три слитка латуни. В каждом из первых двух слитков содержится 30% меди. Масса первого слитка равна 5 кг, масса второго — 3 кг. Если первый слиток сплавить с третьим, то получится слиток, содержащий 56% меди. Если второй слиток сплавить с третьим, то получится слиток, содержащий 60% меди. Каким будет процентное содержание меди в сплаве всех трёх слитков?
