Упражнение 8.19 ГДЗ Мордкович Семенов 9 класс (Алгебра)
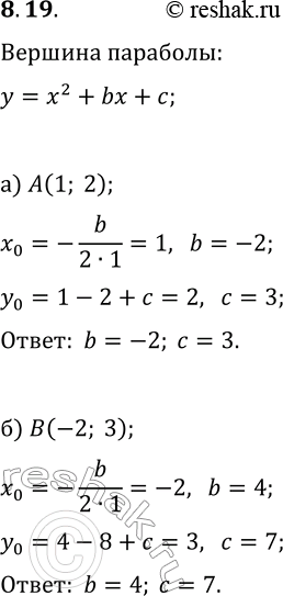
8.19. При каких значениях коэффициентов b и с данная точка является вершиной параболы y=x^2+bx+c: а) А(1; 2); б) В(-2; 3)? *Цитирирование задания со ссылкой на учебник производится исключительно в учебных целях для лучшего понимания разбора решения задания.

Ниже вариант решения задания из учебника Мордкович, Семенов, Александрова 9 класс, Бином:
8.19. При каких значениях коэффициентов b и с данная точка является вершиной параболы y=x^2+bx+c:
а) А(1; 2); б) В(-2; 3)?
