Упражнение 8.16 ГДЗ Мордкович Семенов 9 класс (Алгебра)
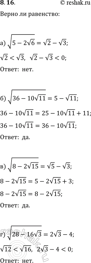
8.16. Укажите верные равенства: а) v(5-2v6)=v2-v3; в) v(8-2v15)=v5-v3; б) v(36-10v11)=5-v11; г) v(28-16v3)=2v3-4. *Цитирирование задания со ссылкой на учебник производится исключительно в учебных целях для лучшего понимания разбора решения задания.

Ниже вариант решения задания из учебника Мордкович, Семенов, Александрова 9 класс, Бином:
8.16. Укажите верные равенства:
а) v(5-2v6)=v2-v3; в) v(8-2v15)=v5-v3;
б) v(36-10v11)=5-v11; г) v(28-16v3)=2v3-4.
