Упражнение 9.17 ГДЗ Мордкович Семенов 9 класс (Алгебра)
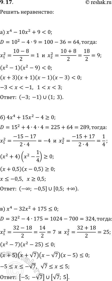
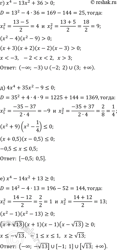
9.17. Решите неравенство: а) x^4-10x^2+9 0; б) 4x^4+15x^2-4?0; д) 4x^4+35x^2-9?0; в) x^4-32x^2+175?0; е) x^4-14x^2+13?0. *Цитирирование задания со ссылкой на учебник производится исключительно в учебных целях для лучшего понимания разбора решения задания.


Ниже вариант решения задания из учебника Мордкович, Семенов, Александрова 9 класс, Бином:
9.17. Решите неравенство:
а) x^4-10x^2+9 0;
б) 4x^4+15x^2-4?0; д) 4x^4+35x^2-9?0;
в) x^4-32x^2+175?0; е) x^4-14x^2+13?0.
