Упражнение 9.16 ГДЗ Мордкович Семенов 9 класс (Алгебра)
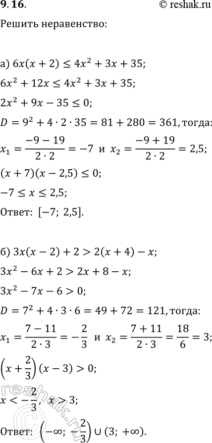
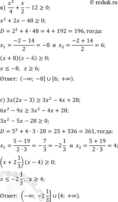
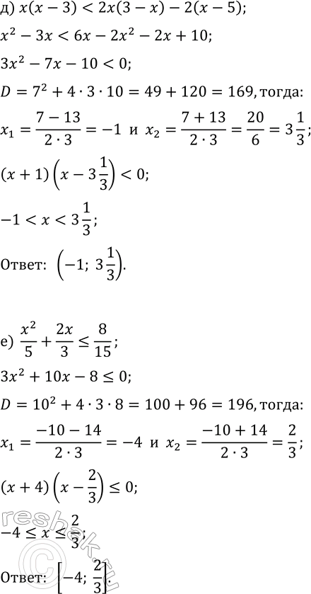
9.16. Решите неравенство: а) 6x(x+2)?4x^2+3x+35; б) 3x(x-2)+2 > 2(x+4)-x; в) x^2/4+x/2-12?0; г) 3x(2x-3)?3x^2-4x+28; д) x(x-3) е) x^2/5+2x/3?8/15. *Цитирирование задания со ссылкой на учебник производится исключительно в учебных целях для лучшего понимания разбора решения задания.



Ниже вариант решения задания из учебника Мордкович, Семенов, Александрова 9 класс, Бином:
9.16. Решите неравенство:
а) 6x(x+2)?4x^2+3x+35;
б) 3x(x-2)+2 > 2(x+4)-x;
в) x^2/4+x/2-12?0;
г) 3x(2x-3)?3x^2-4x+28;
д) x(x-3)
е) x^2/5+2x/3?8/15.
