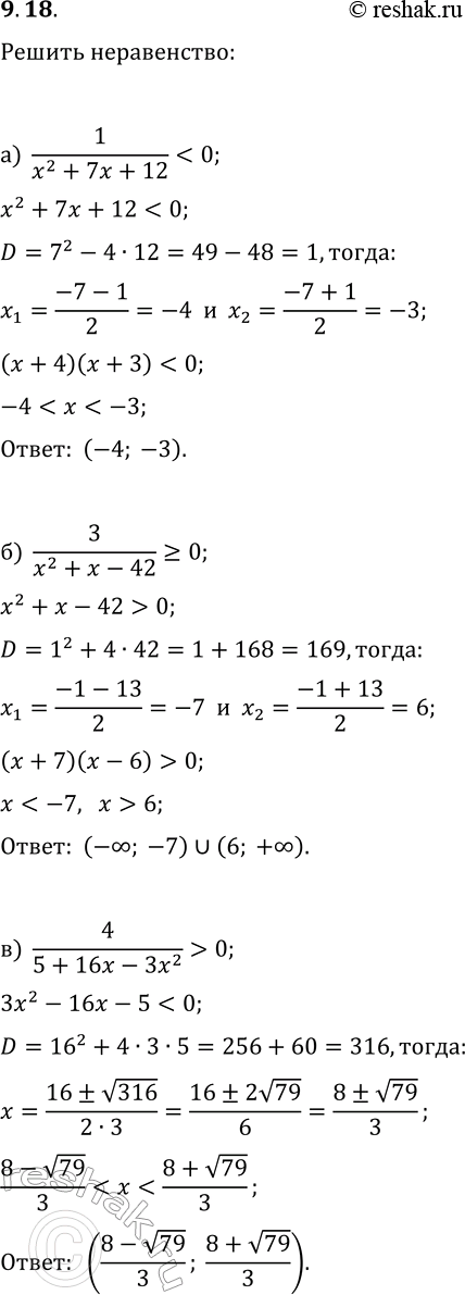
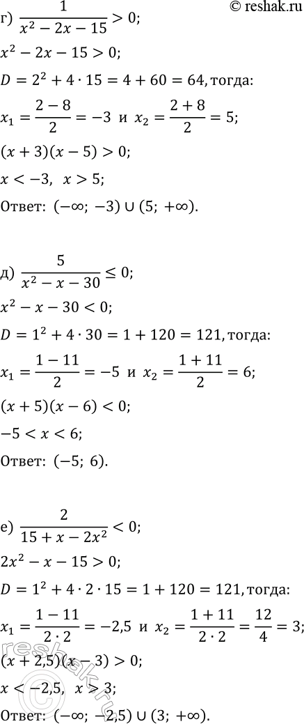
Упражнение 9.18 ГДЗ Мордкович Семенов 9 класс (Алгебра)
9.18. Решите неравенство: а) 1/(x^2+7x+12) 0; б) 3/(x^2+x-42)?0; д) 5/(x^2-x-30)?0; в) 4/(5+16x-3x^2) > 0; е) 2/(15+x-2x^2) *Цитирирование задания со ссылкой на учебник производится исключительно в учебных целях для лучшего понимания разбора решения задания.


Ниже вариант решения задания из учебника Мордкович, Семенов, Александрова 9 класс, Бином:
9.18. Решите неравенство:
а) 1/(x^2+7x+12) 0;
б) 3/(x^2+x-42)?0; д) 5/(x^2-x-30)?0;
в) 4/(5+16x-3x^2) > 0; е) 2/(15+x-2x^2)
