Дополнительная задача 13 Глава 4 ГДЗ Мордкович Семенов 9 класс (Алгебра)
13. Сумма первых трёх членов бесконечно убывающей геометрической прогрессии (b_n) равна 120, а сумма следующих за ними трёх членов той же прогрессии равна -15.


Ниже вариант решения задания из учебника Мордкович, Семенов, Александрова 9 класс, Бином:
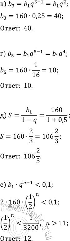
13. Сумма первых трёх членов бесконечно убывающей геометрической прогрессии (b_n) равна 120, а сумма следующих за ними трёх членов той же прогрессии равна -15. Найдите:
а) q; б) b_1; в) b_3; г) b_5;
д) сумму S этой прогрессии;
е) наименьший номер n, при котором n-й член прогрессии по модулю меньше, чем 0,1.
