Упражнение 17.12 ГДЗ Мерзляк 10 класс Углубленный уровень (Алгебра)
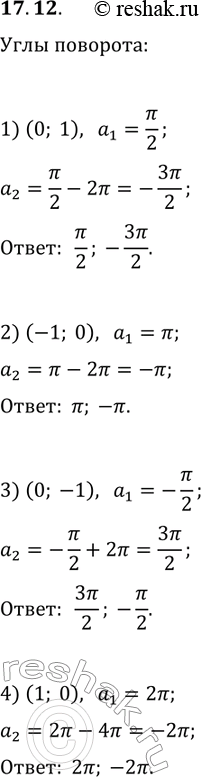
17.12. Укажите наименьший положительный и наибольший отрицательный углы, при повороте на которые точки Р_0(1; 0) будет получена точка с координатами: 1) (0;

Ниже вариант решения задания из учебника Мерзляк, Номировский, Поляков 10 класс, Просвещение:
17.12. Укажите наименьший положительный и наибольший отрицательный углы, при повороте на которые точки Р_0(1; 0) будет получена точка с координатами:
1) (0; 1); 2) (-1; 0); 3) (0; -1); 4) (1; 0).
