Упражнение 17.9 ГДЗ Мерзляк 10 класс Углубленный уровень (Алгебра)
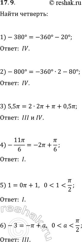
17.9. В какой четверти находится точка единичной окружности, полученная при повороте точки Р_0(1; 0) на угол: 1) -380°; 3) 5,5?; 5) 1;

Ниже вариант решения задания из учебника Мерзляк, Номировский, Поляков 10 класс, Просвещение:
17.9. В какой четверти находится точка единичной окружности, полученная при повороте точки Р_0(1; 0) на угол:
1) -380°; 3) 5,5?; 5) 1;
2) -800°; 4) -11?/6; 6) -3?
