Упражнение 17.13 ГДЗ Мерзляк 10 класс Углубленный уровень (Алгебра)
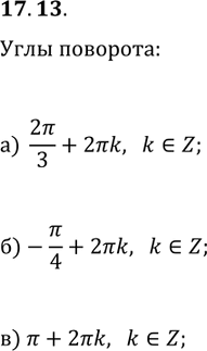
17.13. Укажите все действительные числа, соответствующие точке Р единичной окружности (рис. 17.8). *Цитирирование задания со ссылкой на учебник производится исключительно в учебных целях для лучшего понимания разбора решения задания.

Ниже вариант решения задания из учебника Мерзляк, Номировский, Поляков 10 класс, Просвещение:
17.13. Укажите все действительные числа, соответствующие точке Р единичной окружности (рис. 17.8).
