Упражнение 17.2 ГДЗ Мерзляк 10 класс Углубленный уровень (Алгебра)
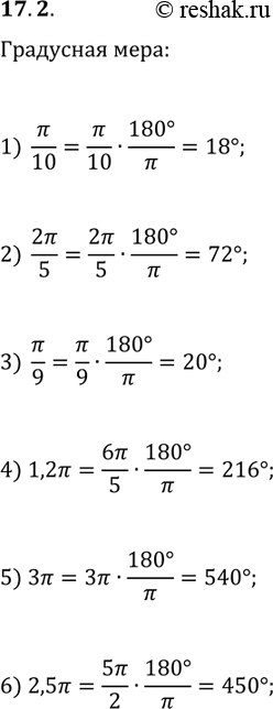
17.2. Найдите градусную меру угла, радианная мера которого равна: 1) ?/10; 3) ?/9; 5) 3?; 2) 2?/5; 4) 1,2?; 6) 2,5?.

Ниже вариант решения задания из учебника Мерзляк, Номировский, Поляков 10 класс, Просвещение:
17.2. Найдите градусную меру угла, радианная мера которого равна:
1) ?/10; 3) ?/9; 5) 3?;
2) 2?/5; 4) 1,2?; 6) 2,5?.
