Упражнение 17.1 ГДЗ Мерзляк 10 класс Углубленный уровень (Алгебра)
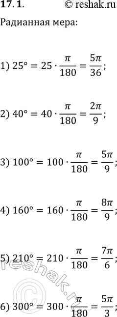
17.1. Найдите радианную меру угла, равного: 1) 25°; 3) 100°; 5) 210°; 2) 40°; 4) 160°; 6) 300°. *Цитирирование задания со ссылкой на учебник производится исключительно в учебных целях для лучшего понимания разбора решения задания.

Ниже вариант решения задания из учебника Мерзляк, Номировский, Поляков 10 класс, Просвещение:
17.1. Найдите радианную меру угла, равного:
1) 25°; 3) 100°; 5) 210°;
2) 40°; 4) 160°; 6) 300°.
