Упражнение 17.5 ГДЗ Мерзляк 10 класс Углубленный уровень (Алгебра)
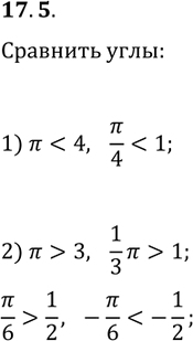
17.5. Сравните величины углов, заданных в радианах: 1) ?/4 и 1; 2) -1/2 и -?/6. *Цитирирование задания со ссылкой на учебник производится исключительно в учебных целях для лучшего понимания разбора решения задания.

Ниже вариант решения задания из учебника Мерзляк, Номировский, Поляков 10 класс, Просвещение:
17.5. Сравните величины углов, заданных в радианах:
1) ?/4 и 1; 2) -1/2 и -?/6.
