Упражнение 17.20 ГДЗ Мерзляк 10 класс Углубленный уровень (Алгебра)
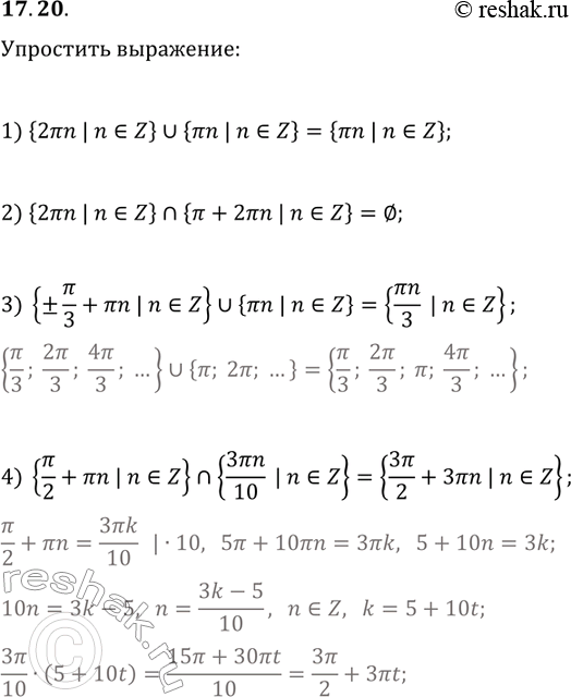
17.20. Упростите: 1) {2πn | n∈Z}∪{πn | n∈Z}; 2) {2πn | n∈Z}⋂{π+2πn | n∈Z}; 3) {±π/3 | n∈Z}∪{πn | n∈Z}; 4) {π/2+πn | n∈Z}⋂{3πn/10 | n∈Z}.

Ниже вариант решения задания из учебника Мерзляк, Номировский, Поляков 10 класс, Просвещение:
17.20. Упростите:
1) {2ПЂn | nв€€Z}в€Є{ПЂn | nв€€Z};
2) {2ПЂn | nв€€Z}в‹‚{ПЂ+2ПЂn | nв€€Z};
3) {В±ПЂ/3 | nв€€Z}в€Є{ПЂn | nв€€Z};
4) {ПЂ/2+ПЂn | nв€€Z}в‹‚{3ПЂn/10 | nв€€Z}.
