Упражнение 18.4 ГДЗ Мерзляк 10 класс Углубленный уровень (Алгебра)
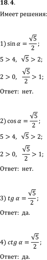
18.4. Может ли быть равным числу v5/2 значение: 1) sin(?); 2) cos(?); 3) tg(?); 4) ctg(?)? *Цитирирование задания со ссылкой на учебник производится исключительно в учебных целях для лучшего понимания разбора решения задания.

Ниже вариант решения задания из учебника Мерзляк, Номировский, Поляков 10 класс, Просвещение:
18.4. Может ли быть равным числу v5/2 значение:
1) sin(?); 2) cos(?); 3) tg(?); 4) ctg(?)?
