Упражнение 19.12 ГДЗ Мерзляк 10 класс Углубленный уровень (Алгебра)
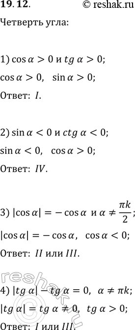
19.12. Углом какой четверти является угол ?, если: 1) cos(?) > 0 и tg(?) > 0; 3) |cos(?)|=-cos(?) и ???k/2, k?Z;

Ниже вариант решения задания из учебника Мерзляк, Номировский, Поляков 10 класс, Просвещение:
19.12. Углом какой четверти является угол ?, если:
1) cos(?) > 0 и tg(?) > 0; 3) |cos(?)|=-cos(?) и ???k/2, k?Z;
2) sin(?)
