Упражнение 19.13 ГДЗ Мерзляк 10 класс Углубленный уровень (Алгебра)
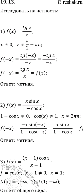
19.13. Исследуйте на чётность функцию: 1) f(x)=tg(x)/x; 2) f(x)=x sin(x)/(1-cos(x)); 3) f(x)=(x-1)cos(x)/(x-1). *Цитирирование задания со ссылкой на учебник производится исключительно в учебных целях для лучшего понимания разбора решения задания.

Ниже вариант решения задания из учебника Мерзляк, Номировский, Поляков 10 класс, Просвещение:
19.13. Исследуйте на чётность функцию:
1) f(x)=tg(x)/x;
2) f(x)=x sin(x)/(1-cos(x));
3) f(x)=(x-1)cos(x)/(x-1).
