Упражнение 24.5 ГДЗ Мерзляк 10 класс Углубленный уровень (Алгебра)
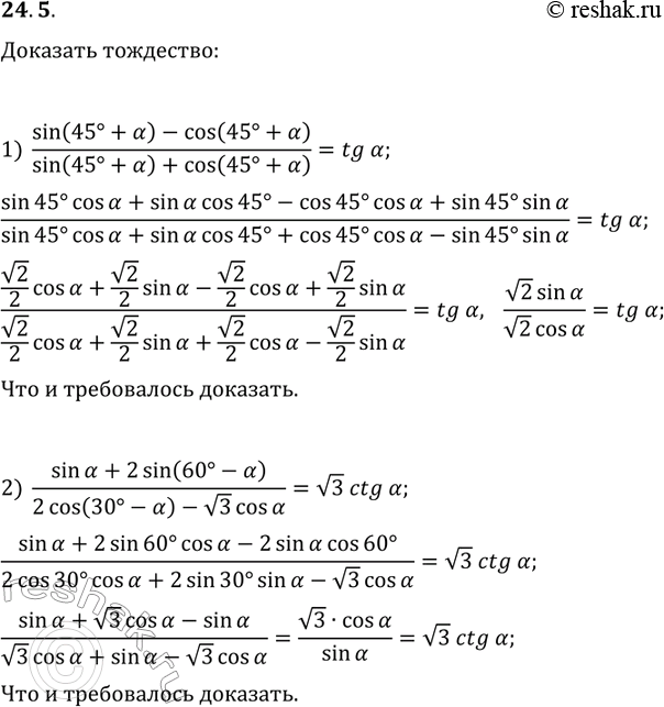
24.5. Докажите тождество: 1) (sin(45°+?)-cos(45°+?))/(sin(45°+?)+cos(45°+?))=tg(?); 2) (sin(?)+2sin(60°-?))/(2cos(30°-?)-v3cos(?))=v3ctg(?). *Цитирирование задания со ссылкой на учебник производится исключительно в учебных целях для лучшего понимания разбора решения задания.

Ниже вариант решения задания из учебника Мерзляк, Номировский, Поляков 10 класс, Просвещение:
24.5. Докажите тождество:
1) (sin(45°+?)-cos(45°+?))/(sin(45°+?)+cos(45°+?))=tg(?);
2) (sin(?)+2sin(60°-?))/(2cos(30°-?)-v3cos(?))=v3ctg(?).
