Упражнение 24.1 ГДЗ Мерзляк 10 класс Углубленный уровень (Алгебра)
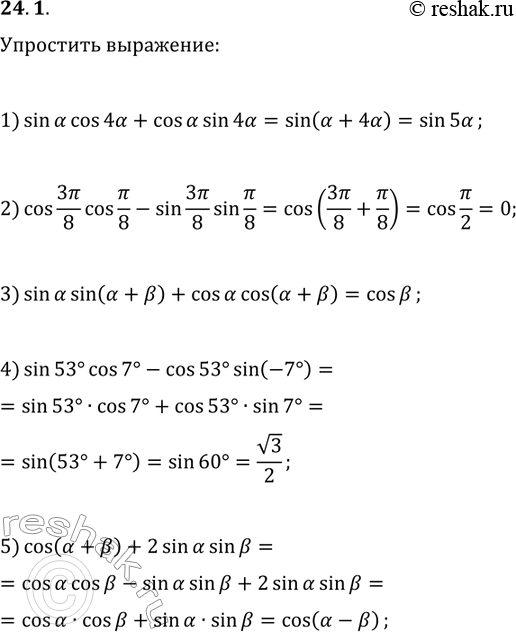
24.1. Упростите выражение: 1) sin(?)cos(4?)+cos(?)sin(4?); 2) cos(3?/8)cos(?/8)-sin(3?/8)sin(?/8); 3) sin(?)sin(?+?)+cos(?)cos(?+?); 4) sin(53°)cos(7°)-cos(53°)sin(-7°); 5) cos(?+?)+2sin(?)sin(?). *Цитирирование задания со ссылкой на учебник производится исключительно в учебных целях для лучшего понимания разбора решения задания.

Ниже вариант решения задания из учебника Мерзляк, Номировский, Поляков 10 класс, Просвещение:
24.1. Упростите выражение:
1) sin(?)cos(4?)+cos(?)sin(4?);
2) cos(3?/8)cos(?/8)-sin(3?/8)sin(?/8);
3) sin(?)sin(?+?)+cos(?)cos(?+?);
4) sin(53°)cos(7°)-cos(53°)sin(-7°);
5) cos(?+?)+2sin(?)sin(?).
