Упражнение 26.16 ГДЗ Мерзляк 10 класс Углубленный уровень (Алгебра)
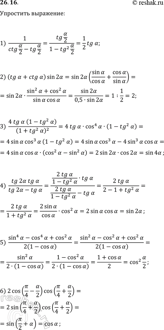
26.16. Упростите выражение: 1) 1/(ctg(?/2)-tg(?/2)); 4) tg(2?)tg(?)/(tg(2?)-tg(?)); 2) (tg(?)+ctg(?))sin(2?); 5) (sin^4(?)-cos^4(?)+cos^2(?))/(2(1-cos(?)); 3) 4tg(?)(1-tg^2(?))/(1+tg^2(?))^2; 6) 2cos(?/4-?/2)cos(?/4+?/2). *Цитирирование задания со ссылкой на учебник производится исключительно в учебных целях для лучшего понимания разбора решения задания.

Ниже вариант решения задания из учебника Мерзляк, Номировский, Поляков 10 класс, Просвещение:
26.16. Упростите выражение:
1) 1/(ctg(?/2)-tg(?/2)); 4) tg(2?)tg(?)/(tg(2?)-tg(?));
2) (tg(?)+ctg(?))sin(2?); 5) (sin^4(?)-cos^4(?)+cos^2(?))/(2(1-cos(?));
3) 4tg(?)(1-tg^2(?))/(1+tg^2(?))^2; 6) 2cos(?/4-?/2)cos(?/4+?/2).
