Упражнение 26.17 ГДЗ Мерзляк 10 класс Углубленный уровень (Алгебра)
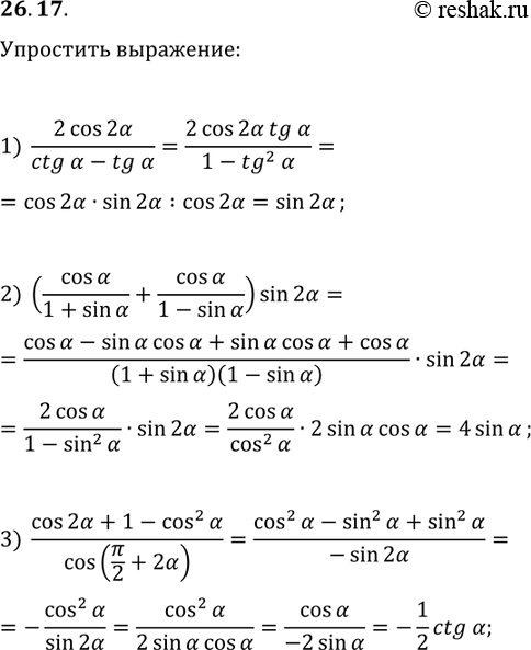
26.17. Упростите выражение: 1) 2cos(2?)/(ctg(?)-tg(?)); 2) (cos(?)/(1+sin(?))+cos(?)/(1-sin(?)))sin(2?); 3) (cos(2?)+1-cos^2(?))/cos(?/2+2?). *Цитирирование задания со ссылкой на учебник производится исключительно в учебных целях для лучшего понимания разбора решения задания.

Ниже вариант решения задания из учебника Мерзляк, Номировский, Поляков 10 класс, Просвещение:
26.17. Упростите выражение:
1) 2cos(2?)/(ctg(?)-tg(?));
2) (cos(?)/(1+sin(?))+cos(?)/(1-sin(?)))sin(2?);
3) (cos(2?)+1-cos^2(?))/cos(?/2+2?).
