Упражнение 26.24 ГДЗ Мерзляк 10 класс Углубленный уровень (Алгебра)
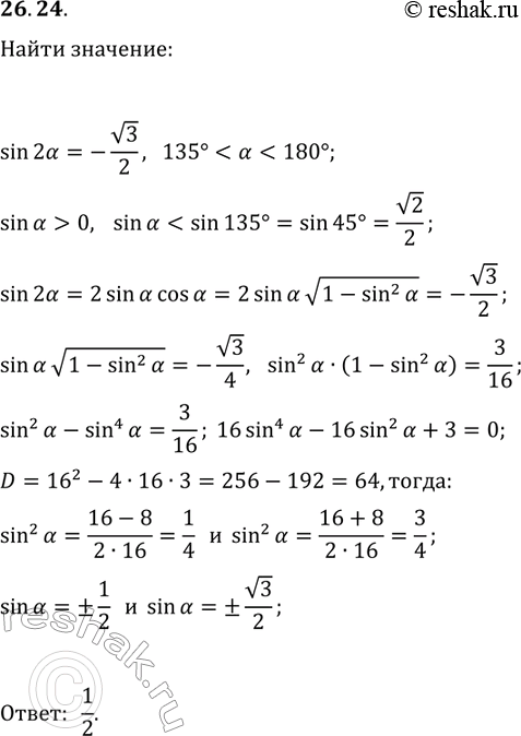
26.24. Дано: sin(2?)=-v3/2, 135° *Цитирирование задания со ссылкой на учебник производится исключительно в учебных целях для лучшего понимания разбора решения задания.

Ниже вариант решения задания из учебника Мерзляк, Номировский, Поляков 10 класс, Просвещение:
26.24. Дано: sin(2?)=-v3/2, 135°
