Упражнение 26.25 ГДЗ Мерзляк 10 класс Углубленный уровень (Алгебра)
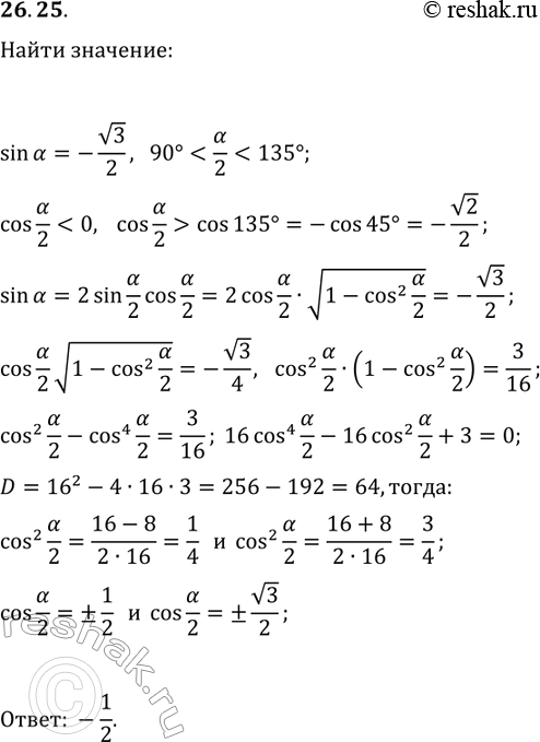
26.25. Дано: sin(?)=-v3/2, 90° *Цитирирование задания со ссылкой на учебник производится исключительно в учебных целях для лучшего понимания разбора решения задания.

Ниже вариант решения задания из учебника Мерзляк, Номировский, Поляков 10 класс, Просвещение:
26.25. Дано: sin(?)=-v3/2, 90°
